LTSV > Service Vehicles > Fleet Data > Vehicle List > 1902F GHV514N
This is the vehicle detail page. Everything we know about this particular vehicle will appear here. If you can add to, improve or correct any of the information on this page, please get in touch.
Main vehicle details

Number Registration Type Class Chassis No. Body No. ? If the vehicle had two or more bodies (i.e. if it was rebodied), the body numbers (where known) are shown in chronological order. Refer to the history records for more details.
1902F GHV514N Ford Escort 6-cwt Van Light Van BBAVRE24654

Licence on: 01/06/1975
Into stock: 21/05/1975
From: F H Peacock Ltd
Out of stock: 29/05/1979 (Life: 4.02 years)
Disposal: British Car Auctions
Licence off: 28/02/1989 ?This is the last recorded licence expiry date. Previous expiry dates will be shown in the Licensing History section below.
icon
Livery: Orange
Operator: LT
Status: Withdrawn
Allocation: n/a
Added to LTSV: 01/09/2005 by Thomas Young
Last edited: 02/02/2014 ?This is the date of the most recent edit. To see details of all edits, scroll to the bottom of the page.
Photos
No photos of this vehicle have been published.
There may be references to other photos in the Notes section further down this page.
Sightings
2 sightings of this vehicle have been reported. Shown below with the most recent at the top.
Date Place Comments Posted by ?If the name is in brackets, the vehicle was not seen by the person, but the sighting was added by the person.
19/03/1976 ? - Steve Howard
11/06/1975 Camberwell Garage - Ray
History ?This section contains details of events during the lifetime of this vehicle. These can be drawn from official documents or from observations, and will eventually cover the whole career of each vehicle.
7 history entries have been added, shown below in date order (oldest first).
Date Event Operator Department Location Status Notes Source
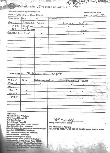
21/05/1975 New into stock LT n/a Works u ex F H Peacock Ltd LT Variation Sheets
03/06/1975 Licensed and transferred LT Publicity Officer (Gp.2) Griffith House, Marylebone ex Works. Replacement for 1705F. MVR Amendment Sheet gives date as 29/05/1975 LT Variation Sheets
by01/10/1975 Allocated to LT Publicity Officer (Gp.2) Griffith House, Marylebone LT Miscellaneous Vehicles Register (as date)
17/02/1978 Transferred LT Distribution Services Manager (Gp.3) Chiswick Works ex Griffith House, Publicity Officer (Gp.2). Pencilled addition to Variation Sheet LT Variation Sheets
by05/1978 Allocated to LT Cleaning Services Manager (Gp.2) Chiswick Works LT Miscellaneous Vehicles Register (as date)
22/02/1979 Delicensed and transferred LT n/a Works u ex Griffith House, Publicity Officer (Gp.2) LT Variation Sheets
29/05/1979 Sold LT n/a n/a ex Works LT Variation Sheets
Notes ?This section contains notes that users have added about this vehicle.
2 notes about this vehicle have been posted, shown below with the most recent first.
Note Posted by On
https://www.flickr.com/photos/rtw501/54414150166/in/photolist Ray 05/07/2025
Last licensed as red Ray 01/04/2009
Documents ?This section contains scans of official documents that relate to this vehicle.
6 documents relating to this vehicle have been published. Shown below in date order (oldest first). Hover over a document to see more details.
Document
Document
Document
Document
Document
Document
Licensing History ?The licence expiry dates are regularly updated, with all records shown here (most recent first).
Date checked Expiry date Notes Added by
01/01/2022 28/02/1989 Ray
Edits ?This section shows a description of each change that has been applied to the database entry for this vehicle.
This record has been edited 2 times, as listed below (most recent edits first).
Date Summary Edited by Public?
02/02/2014 Improved date in Thomas Young Y
01/04/2009 Licensing date/s updated Ray Y